One of the most important reactions
in organic chemistry are the C-C bond forming reactions. Following are some of
the reactions for forming a single bond between carbon atoms.
1.
Aldol
Condensation
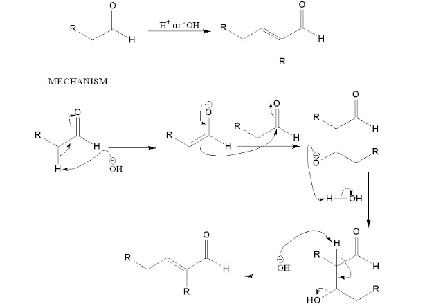
Aldol condensation is the reaction in
which an enolizable aldehyde or ketone condenses with another aldehyde or a
ketone to form an aldol followed by dehydration to yield a,b-unsaturated
carbonyl compounds. The reaction is carried out under basic or acidic
conditions and the prerequisite is the presence of an a-hydrogen in the aldehyde.
The reaction goes through an enolate
(base catalyzed) or enol (acid catalyzed) intermediate.
2.
Wurtz
Reaction
Wurtz reaction is the coupling of
alkyl groups in alkyl halides in the presence of a metal (Na).
3.
Friedel-Craft’s
Alkylation and Acylation
Friedel-Craft’s alkylation and acylation
are examples of aromatic electrophilic substitution reactions. It involves the
reaction of an aromatic ring with alkyl or acyl halides in the presence of a
Lewis acid.
More
to Come………..
Image credit: gohomeworkhelp.com



No comments:
Post a Comment